SECI1013-03 Discrete Structure
Introduction
This group assignment 5 consists of Chapter 5: Finite Automata only.
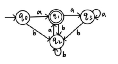
In this assignment, we constructed transition table and diagrams.

Figure 1: Transition diagram

Figure 2: Transition table
Updated on 05 February 2021, 1:43 PM; 129 page visits from 5 February 2021 to 20 December 2025